사업분야

Business

한국센서연구소는 미래기술혁신 기업입니다.

화학센서시험: 가스, 독성물질, VOCs 등 다양한 화학 물질 감지 센서의 성능 평가 시험

(감도, 선택성, 반응시간, 회복시간, 검출한계(LOD), 교차 반응 분석 등)

  • 탄화수소계 (VOCs 등) 가스 센서 시험 - C7H8(톨루엔), C4H10(부탄), C2H5OH(에탄올), CH3OH(메탄올), C3H8(프로판), C3H6O(아세톤), C6H6(벤젠), C8H10(자일렌), C8H8(스티렌), C6H14(헥산), HCHO(포름알데히드), C4H8(이소부틸렌)
  • 독성/악취 가스 센서 시험 - CO(일산화탄소), H2S(황화수소), NH3(암모니아), HF(불산), CH3SH(메틸메르캅탄), (CH3)2S(디메틸설파이드), (CH3)2NH(디메틸아민)
  • 탄환경/기후 관련 가스 센서 시험 - CO2(이산화탄소), CH4(메탄), NO2(이산화질소), O3(오존), H2(수소), SnO2(산화주석), NO2(아산화질소), SO2(이산화황)
  • 화학작용제(유사작용제 이용) 가스 센서 시험 - DMMP 가스, DIMP 가스, CEPS 가스
  • 수질 센서 시험 - PH 센서, DO 센서, 전기 전도도 센서

물리센서시험: 압력, 온도, 습도, 가속도, 변위 등 물리량 측정 센서 성능 평가 시험

(정확도, 분해능, 선형성, 히스테리시스, 환경 내성 등)

  • 온도 센서 시험
  • 습도 센서 시험
  • 힘 센서 시험
  • 진동 센서 시험 - 주파수 시험, 가속도 시험
  • 공기압 센서 시험 - 고압 시험, 진공 시험
  • 유량 센서 시험 - 공기 유량 측정 시험, 유체 유량 측정 시험
  • 풍속 센서 시험 - 풍속 측정 시험, 유체 발전효율 시험
  • 미세먼지 센서 시험 - Particle 수 측정
  • 수위 센서 시험 - 거리 및 오차율 측정

전자기센서시험: 자기장, 전계, 전류, 전압 등을 감지하는 전자기 기반 센서 성능 평가 시험

(감도, 노이즈, 정확도, 신호 분해능, 교란 내선, 정전기 방전, 히스테리시스, 환경 내성 등)

  • 자기장 센서 시험 - 자기감도, 히스테리시스, 바이어스 온도계수, 자기장 감지 범위
  • 전류 센서 시험 - 출력 선형성, 대역폭, 드리프트, 절연 내압
  • 전계 센서 시험 - 전계 감도, 방향성, EMI 차폐 성능
  • 근접 센서 시험 - 감지 거리 정확도, 반응 속도, 물체 별 감지 여부, 반복성

바이오센서시험: 생체분자 검출용 바이오센서 및 진단 키트 성능 평가, 바이오 분석 장비 성능 시험

(생체물질 선택성, 민감도, 안정성, 반복성, 신호 정확도, 알고리즘 정밀도 등)

  • 진단 키트 시험 - 분석적 민감도, 분석적 특이도, 노이즈 분석, 나노웰 사이즈 측정
  • 세포 농도 검출기 - 정확도, 정밀도
  • 세포 분석 장비 - 배양체 형태, 알고리즘 분석 정밀도, 입자간 거리 분해능, 영상 Frame rate
  • CT X-ray 디텍터 시험
  • 다종 이온 검출 센서

융복합센서시험: 2개 이상 센서 기술을 결합한 복합센서 시스템 성능 시험

(다채널 동기화 성능, 센서 간 간섭 여부, 통합 알고리즘 성능평가, 센서 수명 평가 등)

  • 물리량 융합형 - 측정 정밀도, 센서 간 동기화 정확도, 센서 인터페이스 회로 입력 잡음 시험, 알고리즘 응답속도
  • 화학/바이오 및 환경 융합형 - 센서 별 반응감도, 복합 센서 가스 선택성, 유해물질 검출한계 시험
  • 모션/위치 융합형 - 자세 추정 정확도, 드리프트 보정, 데이터 로깅 시간 측정, 지문인식 센서 시험, 모션 센서, 차량용 센서 시험, 시스템 속도 측정 시험
  • 에너지/전력 융합형 - 배터리 수명 내 성능 유지, 고전압 내성 시험, 과전류/단락 보호 동작

음향/초음파센서시험: 음파, 초음파 기반 센서, 구조물 진단 센서, 생체신호 감지 센싱 기술 평가 시험

(주파수 응답, 방향성, 송/수신 감도, 신호 대 잡음비, 감지신호 정확도 등)

  • 음향센서 시험 - 음향크기 정확도, 대역폭, 최대 감도 주파수, 주파수 정확도, 송/수신 출력, 송/수신 감도, 신호 대 잡음비, 임피던스, 지향성
  • 심박센서 시험 - 심박 탐지 정확도, 다중 감지

광/양자센서시험: 광센서, 적외선센서, 이미지센서, 양자 센싱 기술 평가 시험

(주파수 응답, 방향성, 송/수신 감도, 신호 대 잡음비, 감지신호 정확도 등)

  • 광 검출기 시험 - 양자 변환 효율, 반응성, 감도, 응답시간, 암전류, 신호 대 잡음비, 검출한계, 시야각, Spectral Bandwidth
  • IR 카메라 시험 - NETD, 측정 감도, 탐지 분해능, 스펙트럼 응답, 응답시간, 온도 정확도
  • 인체감지센서시험 - RF 센서, PIR 센서, 인체감지 모션센서 등
  • 자외선 센서 시험 - UV 선택성 시험, 가시관 차단 비율
  • 조도센서 시험 - 조도 정확도
  • 태양전지 시험 - EQE 시험

센서 신뢰성시험: 다양한 환경 조건에서도 오랜 시간 동안 안정적으로 동작하는지를 평가

(항온항습 이용 고온/저온 시험, 열충격 시험, 방수 시험, 낙하 시험 등)

  • 환경신뢰성 시험 - 항온항습 시험 (고온/저온 저장 시험, 고온/저온 동작 시험, 고온/고습 저장 시험, 온습도 싸이클 시험, 가속 수명 시험),
    열충격 시험, 진동 시험, 충격 시험, 낙하 시험, 미세먼지 시험, 방수/방진 시험, 유해가스 노츨 시험, 자외선 노출 시험
  • 성능신뢰성 시험 - 감도 시험, 제로 드리프트 시험, 출력 선형성 유지 시험, 반복성 시험, 재현성 시험, Noise 특성 유지 시험, 히스테리시스 시험, 간섭 감도시험

센서의 환경 신뢰성 시험

  • 항온항습 환경 시험, 열충격 환경 시험, 고온 저장 시험, 저온 저장 시험, 고온 동작 시험, 저온 동작 시험

Business

센서 개발 및 제작 서비스

가스센서 감지부

  • 고품질 칼코지나이드계 MoS2 및 WS2 2D 물질 형성
  • 대면적 (4인치 웨이퍼) 고균일 나노 소재 합성 기술 개발
  • IoT에 적합한 초소형·초저전력 상온동작 NH3 및 NO2 가스 센서 개발
  • 반도체 공정으로 가스 센서의 대량 생산 체제 구축
  • 상온동작·초저전력 가스센서 개발

2D 물질 형성된 웨이퍼

반도체 공정으로 센서 제작

제작된 센서 사진

센서 확대 사진

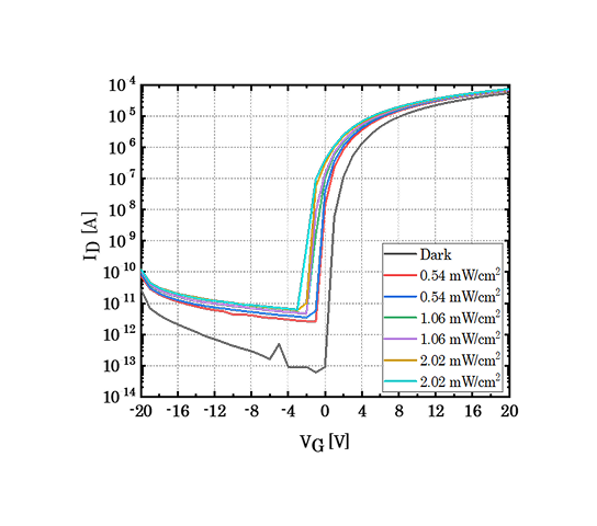
MoS₂ 센서의 NH₃ 반응 특성

WS₂ 센서의 NO₂ 반응 특성

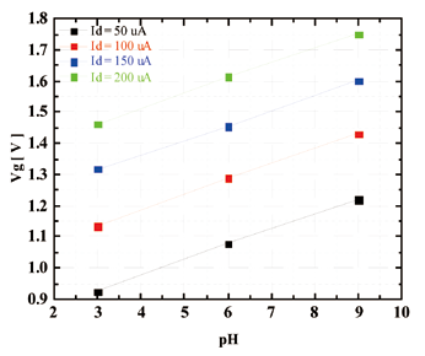
pH센서 감지부

  • 반도체 방식의 ISFET으로 다양한 용도에 사용 가능
  • 인후두 등 인체 내에 사용 가능한 pH 감지부 개발 완료
  • 크기가 1 mm 내외로 매우 작아 미세한 틈에서 사용 가능
  • 기존 유리 구조를 갖는 pH 센서와 달리 충격에 매우 강하여 돌이나 금속 재질 내에서도 사용 가능함
  • 낮은 노이즈 전류 특성으로 고정밀 pH 측정 가능
문의하기 주요실적

개인정보 수집 및 이용에 동의

회사는 개인정보취급방침을 통하여 고객님께서 제공하시는 개인정보가 어떠한 용도와 방식으로 이용되고 있으며, 개인정보보호를 위해 어떠한 조치가 취해지고 있는지 알려드립니다.

▶ 개인정보의 수집 및 이용목적

- 서비스 이용에 따른 본인식별, 실명확인, 가입의사 확인, 연령제한 서비스 이용 - 서비스 제공에 관한 계약 이행 및 서비스 제공에 따른 요금정산,콘텐츠 제공 , 구매 및 요금 결제 , 물품배송 또는 청구지 등 발송 - 고지사항 전달, 불만처리 의사소통 경로 확보, 물품배송 시 정확한 배송지 정보 확보 - 신규 서비스 등 최신정보 안내 및 개인맞춤서비스 제공을 위한 자료 - 기타 원활한 양질의 서비스 제공 등

▶ 수집하는 개인정보의 항목

- 이름, 회사명, 이메일, 주소, 연락처, 핸드폰번호, 문의 내용 그 외 선택항목

▶ 개인정보의 보유 및 이용기간

- 원칙적으로 개인정보의 수집 또는 제공받은 목적 달성 시 지체 없이 파기합니다. - 다만, 원활한 서비스의 상담을 위해 상담 완료 후 내용을 3개월간 보유할 수 있으며 전자상거래에서의 소비자보호에 관한 법률 등 타법률에 의해 보존할 필요가 있는 경우에는 일정기간 보존합니다.

▶ 개인 정보 파기 절차 및 방법

회사는 원칙적으로 개인정보 수집 및 이용목적이 달성된 후에는 해당 정보를 지체없이 파기합니다. 회원님이 회원가입 등을 위해 입력하신 정보는 목적이 달성된 후 별도의 DB로 옮겨져(종이의 경우 별도의 서류함) 내부 방침 및 기타 관련 법령에 의한 정보보호 사유에 따라(보유 및 이용기간 참조) 일정 기간 저장된 후 파기되어집니다. 별도 DB로 옮겨진 개인정보는 법률에 의한 경우가 아니고서는 보유되어지는 이외의 다른 목적으로 이용되지 않습니다. 전자적 파일형태로 저장된 개인정보는 기록을 재생할 수 없는 기술적 방법을 사용하여 삭제합니다.

이메일무단수집거부

한국센서연구소(주)는 이메일 무단수집을 거부합니다.

본 웹사이트에 게시된 이메일 주소가 전자우편수집 프로그램이나그밖의 기술적장치를 이용하여 무단으로 수집되는 것을 거부하며 이를 위반시 정보통신망 이용촉진 및 정보보호등에 관한 법률에 의해처벌 받을 수 있습니다.